Написал комментарий к произведению Виктор фон Дум
В третий раз перечитываю оба коомента, в указанном стиле, и третий раз ржу.
Пошел на 4 круг.
Заходил
В третий раз перечитываю оба коомента, в указанном стиле, и третий раз ржу.
Пошел на 4 круг.
Не знаю насколько правильно такое писать здесь, поэтому готов удалить коммент по первой просьбе авторов, да и совсем не обижусь на бан, но меня прям распирает от впечатлений.
13 глава великолепна, прочел все произведения авторов(в том числе недописаные, и публиковавшиеся на самиздате). И даже для них это очень мощная глава, настолько мощная что если поставить на этом точку никто даже особо не обидится(но расстроится определенно).
Но если бы кого-то интересовало мое мнение, я бы предложил автором собрать несколько интерлеюдий в эпилог, и с новой главы начинать уже Том 2. Ну честно, место для паузы в повествовании прямо таки напрашивается.
Ну и ещё раз хочу высказать восхищение авторами, и тем что несмотря на крайне высокий темп повествования который они взяли, история получила как миниму очень крутой промежуточный финал, на котором вполне можно будет остановится даже если книга попадет под заморозку. Это прям очень круто, как и решение проблемы одного из серьезнейших врагов в истори Марвел таким способом, который и не снился сценаристам МКВ, и к сожалению не приснится, а жаль.(Хотя блин садись за перевод на английский, чтобы отправить в качестве методички по персонажу для Роберта Дауни Мл.)
Поздравляю.
Ну вы что если бы вся книга была описанием как он пишет мангу, между написанием манги, думая о том как будет писать мангу, да выбы ее бросили на первом томе.
Все правильно автор делае, и разнообразие есть, и про основну линию не забывает.
Воу, откуда отрицательные отзывы, очень даже положительные.
Я примерно так и подумал поэтому то и отписал этот коммент, что считаю такое поведение уже не просто дно, это уже тунель в глубину земли, и дальше уже практически некуда. После такого поступка который даже с чисто обывательской точки зрения простить невозможно, куда уж дальше(полность осознанное убийство невинного ребенка, просто потому что Силко отморозок, да в этом даже особой необходимости не было!). Ну и произойди это ближе к моменту изменений главе 9-10 когда Силко уже и так на самом дне, я бы ещё понял, но в самом начале в 3 главе, просто как на мой взгляд дальше любые его поступки которые должны показать как ГГ опускается ещё ниже на фоне 3 главы будут выглядеть смешно(если это не массовые убийства детей), 3 глава просто такую планку задаёт что в последующих опускается уже особо некуда. А если опустится ещё ниже, то либо герой останется одиночкой навсегда поскольку никакой нормальный разумный не примет того что массовый убийца детей исправился, а даже если исправился это все равно будет зудеть в сознании, что каким бы он вдруг не стал, раньше он убивал детей.
Это тупик который наверняка будет решен авторским произволом уровня, "Ты убивал детей, это был не ты, настояйши ты бы такого не сделал." "Или неважно что было раньше, важно какой ты сейчас". Есть ещё Попаданец, но это вообще будет клише. Либо вариант с расщеплением личности, и победой Лучшей ее части, с кардинальными изменениями в поведении и поступках Силко. Это уже не выглядит произволом настолько, как то что соратники просто спокойно примут факт убийства детей(если они не полные отсрочки которые творят тоже самое), и если прям очень хорошо этот момент обыграть может получится достаточно хорошо(правда непонятно это что же он должен настолько жуткое отворить чтобы личность пошла трещать, если убийство ребенка ее даже не шелохнуло), но малейшая недостоверность на моменте этого перехода, и все и следующие 10-15 глав будут недостоверны, потом читатели чуть забудут начало и все выравнивается, но осадочек останется.
Да при чем тут УК, я говорю о поступках которые уже даже с обывательской точки зрения простить невозможно.
Касательно "мира илюзий" не читал, но по описанию скорее злодей но не тварь, да и шанс переход в антигерои естт, но во первых цель более человечная(без привкуса жажды власти на зубах) а во вторых если его к этому вынудили обстоятельства пусть даже и неоднократно, тут можно даже и в антигерои с тяжёлым путем записать пусть и со скрипом(все-же обстоятельства которые многократно принуждают героя убивать детей без других вариантов, да ещё и не сводят его при этом с ума, сами по себе тот ещё авторский произвол).
Я совершенно с этим не спорю, отписав именно с точки зрения развития персонажа.
За злодеями тоже интересно следить, но скажем 3 класичекие пути тут(именно с точки зрения персонажа, а не сюжета в целом), это переход в антигерои или вообще герои если злодей не далеко в чернуху ушел, постепенное погружение в глубины чернухи шаг за шагом, и качели когда идут колебания из одного состояния в другое(но это больше про антигероя уже, поскольку откровенная чернуха в качелях не особо возможна).
И всебы ничего, но хладнокровное, полностью осознанное убийство ребенка в 3 главе, задаёт такую планку чернухи что делаешь опускаться уже особо некуда, жёстче убийства ребенка только массовое убийство детей на глазах матерей с последующим их поеданием, а ну и изнасилование в середине процесса(если коротко глубже в Дарк, уже бешеная тварь а не разумный).
Ну и как после такого поднимается наверх я вообще не представляю(если без авторского произвола). Ну то есть как логически обосновать то, что убийство ребенка даже на секунду задумался не заставило, а что-то другое его типо тронуло, да это будет авторский произвол в чистом виде. Ну либо форматирование личность(что тоже тот ещё произвол, но лучше чем ничего), с учётом мира психов и шихэзофреников, подозреваю что-то такое и задумано.
Ну и я просто не понимаю зачем такую чернуху выкатывать в самом начале, да ещё и с такой проходной подачей, типо убил ребенка ну и хер с ним пойду себя пожалею, кааакой я плохой. Просто зачем сходу ограничивать персонажа?
Да блин отдай он его на опыты Синджеду и то лучшебы получилось. Да хладнокровный мудак, который даже жизнь ребенка бросит на алтарь революции, но он хотябы сделает это рационально, да и потом будет шанс это событие как-то обыграть(без особого произвола) когда ребенок чуть повзрослет. (тут возможен и верный соратник который признает что родной папаша мудак, и последовательный противник который сможет долго противостоять но, и псих который ради мести ГГ натворит ещё больше зла, и чье убийство будет оправданным, да даже просто жертва эксперимента которая в будущем вызовет у ГГ жуткое чисто вины и желание все исправить. Как на мой взгляд каждый из этих путей смотрится гораздо интересней, и оставляет больше возможностей для развития истории, чем банальное хладнокровное убиство.
Ну если автор планирует писать историю злодея в чистом виде, то в принципе сойдёт. Но аудитория у книги будет весьма специфическая и сильно отличающаяся от других произведений, автору следует это учесть.
Но вот если планируется развитие в антигероя, атору лучше внести правки, все таки убийство ребенка, да ещё и с таким акцентом, на осознанность онго действа, отрезает любые пути развития персонажа кроме ещё большего ухода в чернуху.
В целом не супер специалист, но навскидку не могу припомнить ни одного персонажа, которому бы простили Осознанное убийство Ребенка, без полного или почти полного форматирования личности(что явный авторский произвол).(Могу ошибаться, но даже Джокер прямо совсем детей не убивал, попытки были, но вот фактического убийства особо не помню, не счичая совсем уж чернушные серии на один-два номера)
Если уже так сильно хочется показать чернуху, то лучше хоть какой-то повод обозначить типо подростка или ребенка без указания возраста, который кинулся на противников, или хотябы крикнул что-то вроде банального "я отомщу", такое читатели примут гораздо легче, и в будущем будет вариант пусть и со скрипом перевести персонажа в ранг антигероя, ну и путь абсолютного психа и бешеной твари это не закроет.
Очень резкий переход на подводную тему, не вписывается в главу. Получается две маленькие главы на разные темы, теряется целостность повествования.
За одну только идею стоит лайк поставить и коммент отписать
Сразу скажу что люблю автора и читал все его работы от и до. Но.
Если на этом все закончится то ещё более менее концовка для сильно затянутой истории(хотя в таком случае можно было подобрать вариант гораздо лучше). Но все последним главы ведут к тому что произведение продолжится. И это создаёт ощущение как от длинных арок комиксов про супермена(или даже скорее бетмена), где супер крутой(супер умный) герой на протяжении нескольких выпусков сражается с невероятно крутым противником, вступает в Великую финальную битву, битва завершается, и-и-и через пару ничего не значащих выпусков злодей сбегает из тюрьмы и все начинается сначала.
Тупейший подход при котором читатель ощущает что его обманули, и все продолжит идти покругу...(Но тут хотябы есть пауза на пару незначительных выпусков, есть ощущение конца и начала)
А в данной книге, автор даже не пытается поставить точку(пусть даже и для того чтобы начать новый абзац), банально вынести то что происходит под куполом в начало другого тома и это позволит хотябы логически разделить историю на две части. И часть читателей сможет со спокойным сердцем остановится на завершении первой части с завершением части сюжетных линий(а при правильно прописано эпилогом вообще большей части линий), ну а придуманный автором сюжетный твист позволит начать новую часть с условно новым противником.
Снимаю шляпу, автор закончил максимально красиво, как книгу, так и всю серию.
Товарищ автор, а может всё-таки ещё один том?
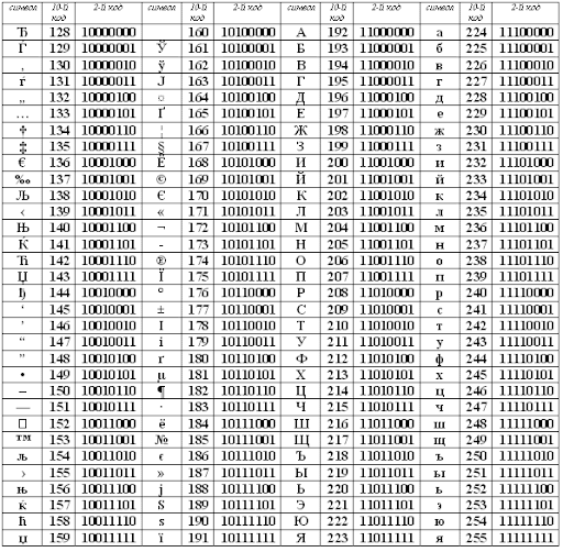
В двоичной все крутится вокруг степеней двойки, чтобы не приходилось переключаться между счисление, на ранних этапах было достаточно много 4(2^2) битных и 16(2^4) битных систем организации памяти, 8(2^3) бит просто исторически 8 битная система оказалась наиболее удобной. При это 10 бит на степени двойки не ложится, и это усложняет манипуляции с памятью, хотя и принципиальных проблем не несёт, скорее вопрос комфорта.
А вот касательно необходимого набора символов

Содержи 32 невидимых символа а также полный набор математических символов, чисел, и латинских букв в двух регистрах. При этом из нечитаймых символов на текущий момент во всем многообразии текущих операционных систем используется 5 максиму 10.
Но кроме того у ascii есть ещё и вторая половина, символы со 128 по 255 и это половина как правило используется для расширения Ascii под конкретный язык

Минутка заклепочника:
На ранних этапах развития конечно каких только Кадавров не изобретали, но 10 битная система это один из худших вариантов организации памяти, поскольку плохо согласуется как с троичной системой хранения(в которой, как правило, минимальной еденицой хранения и восе было три разряда) так и с двоичной для которой больше бы подошло 16 бит если уж 8 почему-то маловато.
Ну и наконец я совершенно не могу понять, какие такие символы в языке нашел автор, чтобы их оказалось больше 256.
В целом посыл автора в интерлюдии понятен. Но демонстрация того как простым студентам плевать на политику, несколько картонная.
Скорее всего из-за эффекта белой обезьяныкогда в тексте кто-то начинает рассказывать как сильно емо что не интересно, это немного царапает восприятия.
ЭВМ которое начали разрабатывать на 10 лет раньше, определенно ускорили разработку.
А вот реакторы для обогащения, как и сам процесс этого обогащения, который далеко не многогранный, это да, тут рояль.
Не хватает Кибер самурайских воспоминаний. В целом про киберсамураистость как будто забыли.
Да мы выяснили что он все же такие, но это часть его личности, часть которая как будто потерялась, и это печально.
Вы диверсионные группы принципиально игнорируете?
А в тех местах и у французов с танками не богато.
Соответственно после прорыва(ДВГ) за линию фортов максимум происходили встречные бои отступающих частей и мотопехоты(грузовиков у Вермахта уже тогда было вполне достаточно).
+ Более активное восстановление СССР, до прихода Гитлера наверняка способствовало более активному восстановлению Германии, все таки в те времена два государства вполне активно сотрудничали.
В реально истории да.
Но Китай есть Китай, то что более активная поддержка Китая не понравиться Японии это аксиома, они до сих пор его сильно не любят, а уж в те времена...
С Америкой сложнее, однако в принципе уже в 30 Америка начала искать рынки сбыта в Азии, собственно из-за чего в последствии и возник конфликт с Японией. Вполне разумно предположить что в данном АИ Америка решила что с Японией можно будет и позже разобраться, а вот если Китай станет рынком СССР изменить это будет гораздо сложнее.
Вот интересно про кровь вы подумали, а про то что подошва на берцах так-то резиновая не подумал никто...
По лицу я готов согласиться(вроде кушать и говорить оно не мешает).
Но если вот горб это не чисто внешняя проблема. И жизни он отравляет только в путь, по крайней мере если проводить антологию со сколиозом, то с горбом и сидеть в одном положении долго неприятно, и ходить некомфортно, и со сном проблемы. Ну как бы ничего критичного, но все равно, я бы от такой постоянно мешающей жить проблемы избавился как только появилась возможность, вообще не уверен что больше мешает жить, отсутствие контроля левой руки или горб.
Как бы да, но можно хотябы общий счет отобразить, и добавить короткую строчку рассуждения о том, что горб и лицо потом поправлю, благо очков в запасе достаточно.
А то действительно складывается ощущение, что здоровье НГ совсем его не волнует.
На одном дыхании проглотил.
Душа требует ещё.
А то что книга все же относится к циклу, даёт надежду...
На само деле до 90 годов оно действительно использовалось редко, и было чем-то вроде жаргонизма.
Как сейчас ноут или ПК вроде все понимают о чем речь, но в газетах такое не печатается.
Ну действительно, автор, туалетный юмор как-то не в тему.
Ага, а ещё золотой зуб у него появился поле путешествия в Константинополь, на текущий момент они все должны быть родными.
3500 на втором томе.
Первая 1000 на третьем.
> 9000 на серии
Может этого все же хватит на мааааленькую проду?
1) Ну окей, не точно выразился, в сравнении с влиянием гравитации, отсутствием сопротивления среды можно пренебречь.
2) я тут коммент на перекуре закинул, а не статью в журнал написал. И на славу Великого Грамотея не претендую...
Не правда, оседание пыли вообще от вакуума не зависит. Оно зависит только от гравитации.
Поддерживаю последнее предложение, прям очень поддерживаю. И крайне рекомендую вам его перечитать.
Вы говорите что читаете другие интересные серии того же Автора. А скажите, какие из них вы прочли до конца?
И в каких концовка серии не уступал ее середине и началу?
Серия выдыхается это правда, но тут вполне может быть ситуация когда соавтор ушел ушел как раз из-за того что качество упало а не наоборот.
В общем если бы он хотел то вернулся, или начал писать что-то подобное, но человек явно устал от излишне длинной серии всё-таки 36 книг это действительно очень много. Ну а Серж как автор производственник, остался доить серию до последнего покупателя.
Да конечно. Я просто пытался пояснить что в отличие от многих затяжных серий, где описывается буквально каждый день гг, и к концу 15 книги он только заканчивает магическую школу, к 20 уезжает из столицы, потом в течении 2-3 книг едет в соседний город, потом ещё книг 5 на приключение в новом городе и так далее. И все это в рамках одного сюжета с одной целью и одним врагом, или одной группой врагов, которые мешают гг жить(как правило без особой причины).
В данной серии практически каждая книга имеет законченный сюжет, при этом конечно отдельные книги складываются в целые арки, которые закрывают целую веху и значительно меняю жизнь Олега.
Тут стоит добавить, что автор не злоупотребляет открытыми финалами, и каждая его книга это в некотором роде законченное произведение.
Здесь пусть и не все, но большая часть вопроса поднятых в книге, в ней же и закрывается. В отличие от большинства авторов других многотомников, где вся серия представляет собой одну книгу разбитую на множество файлов.
Автор, не пугайте на с так пожалуйста.
А то на фоне стандартных примечаний: "был в Барселоне", "Живу в Лондоне", и т. д.
"Меня взорвали в своей квартире..."
Это прям воУ. Добавило адреналинчика в конце главы.
В смысле, тут нигде не говорится что его не сканировали. Просто для Саввы такой огромный скачок в силе вызывает ощущение что его как-то наебали. И особенной перчинки добавляет именно то что он представляет как они смогли это сделать.
У него в ару наверняка куча следов, от прокачки магического резерва. Да и в целом, на таком заседании он мало на что может повлиять, если вообще до него доберется. Безопасность ему пока никто не гарантирует. Вот если его признают боярином тогда уже можно и наведаться в Москву, и то с осторожностью.
А таки какой язык называть китайским, у него больше 20 диалектов. Жителям Гонконга и Пекина сходу весьма сложно понять друг друга, что уж говорить про китайскую глубинку...
Чего-то вдруг, не имеею ничего против того чтобы резать девушек чиновков. :)
Будь это исторический роман, или описание действий другого аристократа, я бы согласился.
Но мы так-то читаем про попаданца, ну или дворянина с памятью жителя 21 века.
Я все равно люблю ваши книги, и серию дальше читать буду.
Прост, ну реально в тексте нет абсолютно никакой причины для такого поступка. Это ломает уже сложившийся образ гг.
Вот перед тобой интеллектуал который прощитывает действия на несколько шагов вперед, и тщательно дозирует информацию. А вот тупой бандюган который знает только один способ решения проблемы, ножом по шее и в море. А вот снова интеллектуал, который мастерски опускает самых зарвавшихся и запугивает остальных, вообще без крови.
Как будто момент с убийством вырвали из другой книги.
Либо у ГГ психические проблемы, и тогда это крутой способ показать, что физический уродства это вовсе не единственный его недостаток, и это смотрится совсем по другом. Даже то что герой не видит в этом ничего особенного имеет смысл, ведь для него садизм и другие психический недостатки это нормально, он не способен осознать что это плохо пока от него не избавиться, а это может произойти ещё очень не скоро.
То есть три проститутки которых он тупо с нифига завалил, это не беспредел.
Или вы о том что с точки зрения горожан он не беспределит?
Насчёт пропажи да, на это могли не обратить внимания, но раз уж такой момент обсуждают лучшие люди города, значит всё-таки обратили, и могли насторожиться, зачем самому себе добавлять дополнительный риск.
При том что плюсов от убийства нет абсолютно никаких, проститутки же не знаю зачем их собирали.
А почему нет, проститутки многое могут услышать.ти ещё больше и могут рассказать на радостях, или после серьезного стресса. Это почти как психолог, да далеко не все так буду себя с ними вести, но это вполне вероятно.
Тоже такое заметил. Думал что автор знает о своих недостатках, и работает над собой, поэтому и добавил гг такие жёсткие психические дебафы, чтобы потом свалить на них не слишком логичные поступки.
Но похоже это просто совпадение.
Так я бы тоже понял если бы о стал резать чиновников, это нормально это в его стиле, они заслужили. Но завалить трёх девушек которых он видит в первые в жизни, просто потому что паранойя. Это либо жестокость либо идиотизм. Идиотом гг считать все таки не годится поэтому я пытаюсь скинуть нелогичность поступка на его дебафы.
Написал комментарий к произведению Виктор фон Дум
Голосом Амбридж ещё больше вставляет.