Пробиваем пространство правильно (часть 1)
Автор: Погорелов Никита АлександровичНа связи АТ образовательный и наша постоянная рубрика «НФ и сверхсвет». Недавний разговор с коллегой Некрасовым привел меня к выводу, что существуют две группы глубоко заблуждающихся людей:
А) Одни считают, что наука будущего может объехать Эйнштейна на кривой кобыле как угодно, чтобы вжух - и сразу у желаемой далекой звезды, разрывая пространство-время в интересах вечного гомеровского сюжета под гомерический хохот. Ничто не истина, все дозволено.
Б) Другие считают, что любое попадание из точки А в точку Б за время, меньшее, чем расстояние АБ в световых годах немедленно убивает их дедушку, после чего Вселенная гибнет в огне Парадокса. Физика закончилась в 70-х годах ХХ века, новой не будет, живите с этой.
Обоим я бы порекомендовал статью Faster-than c signals, special relativity, and causality от авторов Stefano Liberati, Sebastiano Sonego and Matt Visser. Последний - один из самых цитируемых современных ученых по теме ОТО... но вы о нем не слышали, ибо тема серьезно развивается только в англоязычном пространстве. А уровень технического английского у всех, кто не учил его специально, крайне низок. А там 20 страниц, даже без шапки и списка литературы. Еще и с формулами. Поэтому, советовать группам (А) и (Б) статью бессмысленно. Поэтому я решил запостить в блоге краткий пересказ, как уже делал со статьей про парадокс Ферми.
Итак, пристегните ремни и приготовьтесь к перегрузкам, ибо реактивная тяга обеих упомянутых групп быстро выведет их на орбиту. Группа (А) узнает, почему коллективный Эйнштейн запретил сверхсвет, насколько фундаментальные проблемы возникли бы иначе, и какой должен быть масштаб объезда для вашего любимого вжуха. Группа (Б) сейчас рано обрадовалась, т.к. затем ей предстоит узнать, где Эйнштейн же дезавуировал запрет... но группе (А) тоже рано радоваться, т.к. наиболее реалистичный сверхсвет (возможный в допущении, что современная наука хотя бы верна, не говоря уже о том, что полна) сильно отличается от наиболее типичного в космоопере. И какая именно сила, на радость группе (Б), убьет вас при попытке осуществить желаемый вжух (тут надо заметить, что статья 2001 года, с тех пор гипотеза защиты хронологии именно в формулировке Хоккинга опровергнута, о чем я тоже не забуду рассказать, но извините: вы находитесь на стройплощадке). Наконец, группа (Б) увидит тривиальный пример сверхсветовой метрики, не ведущей к нарушению причинности, и пусть попробует объяснить, как с его помощью убить дедушку. Их тезис же про любой сверхсвет, да?
Почему СТО запрещает сверхсвет?
В рамках СТО существует нетривиальный физический закон, который действительно вам его запретил. Дедушки и бабушки тут ни при чем, а причинность сбоку постояла, да и виноват в этом не совсем Эйнштейн. Виноваты преобразования Лоренца, из которых следует инвариантность С. Только С это не скорость и не света. Она возникает как математически строгое следствие четырех предпосылок:
1) Однородность, изотропность и эвклидовость пространства. Предполагается, что законы физики одинаковы везде, с какой стороны ни посмотри.
2) Однородность времени. Предполагается, что законы физики одинаковы всегда.
3) Принцип относительности. Предполагается, что инерциальные системы отсчета равноправны, с какой бы скоростью они ни двигались друг относительно друга равномерно и прямолинейно.
4) Единственность истории Вселенной. Предполагается, что если два события в одной и той же точке произошли в определенном порядке, то они произошли в таком же порядке в любой системе отсчета.
Все эти предпосылки были аксиоматическими началами классической физики и основой для ее законов. Собственно, (4) и есть квази-причинность. Далее тезисно опишу математику, которую вы все равно не будете читать, и которую часть из вас все равно выводила руками на младших курсах института. А именно, решение очень практической задачи перехода из одной СО (системы отсчета) в другую.

- Возьмем две СО К и К' с нулями координат О и О', сонаправим их оси Х (изотропность пространства позволяет свести задачу к одномерному случаю).
- Пусть О' в системе К движется со скоростью v, а О в системе К' — со скоростью v'.
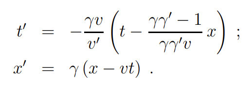
- Возьмем некое событие, имеющее в К координаты (х, t), а в К' — (х', t'). Однородность пространства и времени означает, что зависимость между координатами в К и К' будет линейная, пусть с коэффициентом Г/Г', возможно, зависящим от v и v'.
- Выразим x' и t' через x и t, получая всем известную, но пока слегка завуалированную формулу.

- До сих пор мы пользовались только тезисами (1-2), теперь в чат врывается (3) со словами: v = -v' ; Г = Г'.
- Учитывая, что такие преобразования координат должны формировать группу (быть способом перейти из любой СО в любую), выясняем Г = 1 - kv^2, где k — независимая от v константа. Эти расчеты в статье не приведены, но вы знаете, что гуглить.
- Чтобы исключить отрицательный k, мы прибегаем к тезису (4). Отрицательный k привел бы к очень неприятному выводу, что для любых двух событий, произошедших в одной точке пространства, найдутся две системы отсчета, в которых их порядок во времени был бы разным. Именно для любых, т.к. получается обычный, а не гиперболический поворот в координатах (t,x). Это намного хуже, чем «убить дедушку», это ситуация, при которой история не может существовать как таковая.
- Готово. k это инвариант, не зависящий от выбора системы отсчета и имеющий размерность обратного квадрата скорости. После замены k = 1/C^2 формула приобретает совсем уж знакомый вам по школе вид.

Теперь вы знаете, как именно из тезисов (1-4) следует существование в мире инварианта, имеющего размерность скорости, и для каких именно моментов доказательства какой из тезисов важен.
Обязательно ли инварианту быть скоростью чего-то конкретного? Пока нет, подробнее поговорим об этом чуть ниже. С каких пор «инвариантная» скорость = «максимальная»? Да ни с каких. Эти уравнения не запрещают двигаться быстрее С. Они всего лишь говорят, что при попытке рассмотреть из системы К систему К', движущуюся относительно нее со скоростью, превышающей С, мы увидим физический смысл мнимого числа и отправимся на встречу с Лавкрафтом — рассказывать, как выглядит неописуемое.
Промежуточный контринтуивный вывод: преобразования Лоренца никуда не денутся от того, что какой-то сигнал распространился быстрее С. Они всего лишь означают, что мы не можем использовать такой сигнал для синхронизации часов. Что это такое — узнаем чуть ниже.
Почему С не может быть бесконечно большим, чтобы все свелось к преобразованиям Галилея? (ну школу-то вы, надеюсь, не прогуливали; при чем тут Галилей, пояснять не надо) В принципе, может. Преобразования Галилея это частный случай общего вывода, принятого из четырех вышеуказанных постулатов, кажущихся самоочевидными. Но есть физические соображения, из которых такую гипотезу пришлось отклонить.
Почему тут так мало?

Начпис космооперы узнал, что такое С, пикт в цвете
Действительно, если С это не скорость и не света, то какой в этих абстракциях физический смысл, и почему до звезд не достать, если ты не способен ждать? Потому что с обратной стороны подкрадывается электромагнитизм. В предыдущем параграфе наша система отсчета была пустая. Теперь рассмотрим жидкость и уравнение распространения волны в ней в системах К и К'. В системе К, где жидкость покоится, будет:
− c^2 * ∆T^2 + ∆X^2 = 0
Где с — скорость звука в жидкости, измеренная в системе К. Допустим, что системы К и К' связаны простыми преобразованиями Галилея. Тогда в К', движущейся относительно К со скоростью v:
− c^2 * ∆T'^2 + (∆X'+v*∆T')^2 = 0
Выглядит не очень симметрично... и не должно, ведь системы больше не равноправны. Одна из них привязана к физическому объекту: в ней жидкость покоится. Другая — просто умозрительный конструкт. Так в чем проблема? А проблема — и прикол — в том, что после открытия «свет это волна» было экспериментально установлено, что нет абсолютной системы отчета, которая была бы привязана к некоей жидкости, в которой распространяется свет. Более того, эксперимент Майкельсона-Морли подтвердил ее отсутствие, либо, во всяком случае, жесткую привязку к Земле, что уже выводит ее из разряда инерциальных. Требовались преобразования, при которых волновое уравнение будет меняться симметрично... и тут Лоренц удачно зашел. Хорошо же подходит. Настолько хорошо, что это не кажется случайным совпадением. Хотя логику можно повторить для любой жидкости и фононов в ней. Но тогда в чем физический смысл? Почему мы не видим именно эфира?
Почему другой С не бывать?
Недостающая связь приходит к нам из интерпретации пространственных и временных координат. Выбор системы отчета начинается с выбора чего-то конкретного и имеющего физический смысл в качестве единиц измерения расстояния и времени. Когда наши «линейка» и «часы» обретают плоть, мы строим декартовую сетку и в каждом (в идеале) ее узле ставим «часы». Будучи одинаковыми «часами», они покажут одинаковые интервалы времени. Дело лишь за точкой отсчета. Можно медленно развести их все из нуля координат. Формально правильный, но слишком абстрактный способ, ибо жизнь коротка. Более конкретный и практически применимый аналог — отправить «нулевым часам» какой-то синхронизирующий сигнал от каждых синхронизируемых, содержащий информацию о временной метке, принять и отправить обратно — уже с новой временной меткой. Одностороннюю скорость сигнала в этот момент измерить нельзя, ибо не с чем сравнить. Когда сигнал возвращается, мы знаем его двухстороннюю скорость: расстояние было пройдено за такое-то время именно по синхронизируемым «часам». И заодно знаем метку на «нулевых часах» в середине этого промежутка. Привязка произошла.
И тут мы понимаем, что эту скорость нельзя просто взять и выбрать любой. Потому что если повторить все то же самое в системе К', которая движется в момент синхронизации относительно К с неизвестной скоростью, часы по направлению движения отстанут (сигнал догонял их), а против - обгонят (сигнал налетал на них). Порядок событий потом по этим часам считать, и надо ли объяснять, что для любых двух событий опять нашлась кривая (по построению) система отсчета, где они происходят в обратном порядке? Это уже не такая катастрофа, как если бы события буквально в одной точке меняли свой порядок, но все равно неприятно. Ведь в реальности точечных объектов не существует: какое-то расстояние есть даже между моим мозгом, рождающим эти мысли, и пальцами, их записывающими.
Получается, что для синхронизации систем отсчета, в которых хочется хоть что-то содержательное измерить, мы обязаны использовать инвариантную скорость. Таким же образом приходим к выводу, что двух инвариантов не бывает. Да, мы можем представить некую условную «жидкость-2» с инвариантной скоростью звука в ней, но альтернативная синхронизация (со скоростью V) ведет к тем же последствиям.

В СО, использующей один инвариант, все события, связанные с другим, не должны иметь физического смысла.
Промежуточный парадоксальный вывод: Само то, что мы используем для синхронизации часов свет, делает условный «эфир» как бы невидимым в наших уравнениях, даже если бы он был. А как вы хотели его обнаружить, сравнивая интерференционную картину света с линейкой, на которую вы нанесли метки, получая свет в глаз и потом превращая его в электрические сигналы вашего полностью построенного на обмене фотонами мозга? Мы полностью состоим из электромагнитного взаимодействия, все наши средства измерений используют его, а значит, по построению системы отсчета, не могут показать нам какой-то другой результат.
Принципиально необнаружимые сущности в науке принято считать несуществующими. Можно представить гипотетических существ, чья внутренняя структура полностью обусловлена обменом фононами гипотетической ньютоновой жидкости, которые полностью слепы и невосприимчивы к электромагнетизму. Они могут создать «акустические часы» и «акустическую линейку», дойти до эксперимента Майкельсона-Морли и получить подтверждения «акустической относительности» со своим С в тех же преобразованиях Лоренца. Любое их движение относительно жидкости будет компенсироваться эффектами сжатия «акустической длины» и «акустического времени». Таким образом, они получат гидродинамический аналог СТО. Но никогда нам об этом не расскажут. По причине нашей взаимной невозможности обнаружить существование друг друга.
А почему в принципе причинности теперь буквально пишут С?
Итак, на основе четырех простых гипотез и некоторых физических соображений мы пришли к выводу, который и так всем известен. Деление пар событий на разделенные времениподобным интервалом (по которому успела пройти синхронизация) и пространственноподобным (по которому нет). Успевшая пройти синхронизация обеспечивает защиту хронологии. Для любых двух событий, разделенных пространственноподобным интервалом, существуют две системы отсчета, где они происходят в обратном порядке (гуглить относительность одновременности). Потому что так уж устроены наши системы отсчета. Конечно, это может быть исключительно проблемой наших систем отсчета, но давно ли придумали «лавкрафтианскую физику»?
Не то чтобы не может быть сверхсветовых сигналов, но они не могут иметь физического смысла с нашей точки зрения. Мы, конечно, можем быть с чьей-то еще точки зрения «акустическими гномиками» из предыдущего параграфа. Но никогда об этом не узнаем. Как и они о нас. Или...
Есть ведь и другие взаимодействия, кроме электромагнитного. Статья писалась в 2001 году, так что, «акустические гномики» из нее содержат явную отсылку на лямбда-CDM. Тогда как раз недавно открыли, что большая часть гравитирующей массы галактик состоит из некоей темной материи, не вступающей в электромагнитные взаимодействия. А большая часть Вселенной — из еще более загадочной темной энергии. Однако, с тех пор экспериментально измерена скорость распространения гравитационных волн, которая в пределах погрешности равна тому же С. «Акустические гномики» из темной материи остались мысленным экспериментом.
Конечно, есть еще ядерные взаимодействия, и как писатель-фантаст вы можете думать в сторону условных «путешествий через имматериум, в котором С другая». Однако, вы должны понимать, что:
— Необходимой сопутствующей технологией будет сборка объекта со сложностью «человеческий мозг» на субатомном уровне.
— «Путешествие через имматериум» тождественно загрузке сознания с уничтожением оригинала...
— ... и создает все сопутствующие философские проблемы...
— ... в том числе дает своеобразное бессмертие.
Хотите быть научным фантастом — должны учитывать. Такая вот кривая кобыла, чтобы объехать СТО. Чтобы закончить часть 1 на не совсем уж безрадостной ноте, проспойлерю, что у Вселенной нашлась кобыла попроще. В мыслях о том, как же такое возможно, готовимся перейти к части 2, в которой припомним, что буквально в ходе жизни одного поколения были поставлены под сомнение исходные допущения (1) и (2). И узнаем, к каким последствиям это привело для (4).